微言教育 2024-03-19 15:09:29
日前,教育部公布了2023年度普通高等学校本科专业备案和审批结果,共新增备案专业点1456个、审批专业点217个(包括160个国家控制布点专业和57个目录外新专业),调整学位授予门类或修业年限专业点46个。本次备案、审批和调整的专业,将列入相关高校2024年本科招生计划。
教育部深入推进专业设置调整优化改革工作,引导和支持高校开设国家战略和区域发展急需的新专业。此次增设24种新专业:立足服务国家战略需要,设置大功率半导体科学与工程、生物育种技术等专业;聚焦科学前沿和关键技术领域,深化“四新”建设,设置电子信息材料、智能视觉工程、智能海洋装备等专业;推动中华优秀传统文化创造性转化、创新性发展,设置中国古典学等专业;聚焦服务健康中国战略需求,落实体育强国建设部署,设置健康科学与技术、体育康养、足球运动等专业。
教育部同步发布最新版《普通高等学校本科专业目录》,包含93个专业类、816种专业。据了解,此次还结合经济社会发展需求变化和专业布局情况,对国家控制布点专业范围进行了动态调整,将资源勘察工程、护理学、助产学调整为国家控制布点专业。
此次专业设置工作,增设、调整专业点1719个,同时,对高校申请撤销的1670个专业点予以备案,增、撤、调共涉及3389个专业点,数量为历年最多。下一步,教育部将持续推动专业动态调整,有的放矢培养国家战略人才和急需紧缺人才,提升教育对高质量发展的支撑力、贡献力。
据了解,去年3月,教育部等五部门印发了《普通高等教育学科专业设置调整优化改革方案》,方案实施一年来,教育部持续加大专业设置调整工作力度,“一省一案”“一校一策”狠抓落实。目前已有23个省(区、市)、94所中央部门所属高校制定了实施方案。各省结合本地产业发展实际,梳理急需紧缺专业520种、就业率相对较低专业223种,为属地高校优化专业结构提供重要参考,推动区域人才供需匹配。同时,教育部对高校停招5年及以上的专业进行撤销预警,试行专业预申报制度,推动高校建立健全专业设置定期研究、提前研究工作机制,增强专业设置的前瞻性、精准性。一起来看通知全文——
教育部关于公布2023年度普通高等学校本科专业备案和审批结果的通知
各省、自治区、直辖市教育厅(教委),新疆生产建设兵团教育局,有关部门(单位)教育司(局),部属各高等学校、部省合建各高等学校:
按照教育部等五部门印发的《普通高等教育学科专业设置调整优化改革方案》(教高〔2023〕1号)有关要求,根据《普通高等学校本科专业设置管理规定》(教高〔2012〕9号),我部组织开展了2023年度普通高等学校本科专业设置和调整工作。经申报、公示、审核等程序,对各地各高校向我部申请备案的专业予以备案;根据高等学校专业设置与教学指导委员会评议结果,确定了同意设置的国家控制布点专业和尚未列入专业目录的新专业名单,并将资源勘查工程、护理学、助产学调整为国家控制布点专业。现将备案和审批结果(附件1)、《普通高等学校本科专业目录(2024年)》(附件2)一并予以公布。请各地各高校加强对新设专业的建设和管理,不断提高人才培养质量。
附件:1.2023年度普通高等学校本科专业备案和审批结果
2.普通高等学校本科专业目录(2024年)
教育部
2024年2月4日
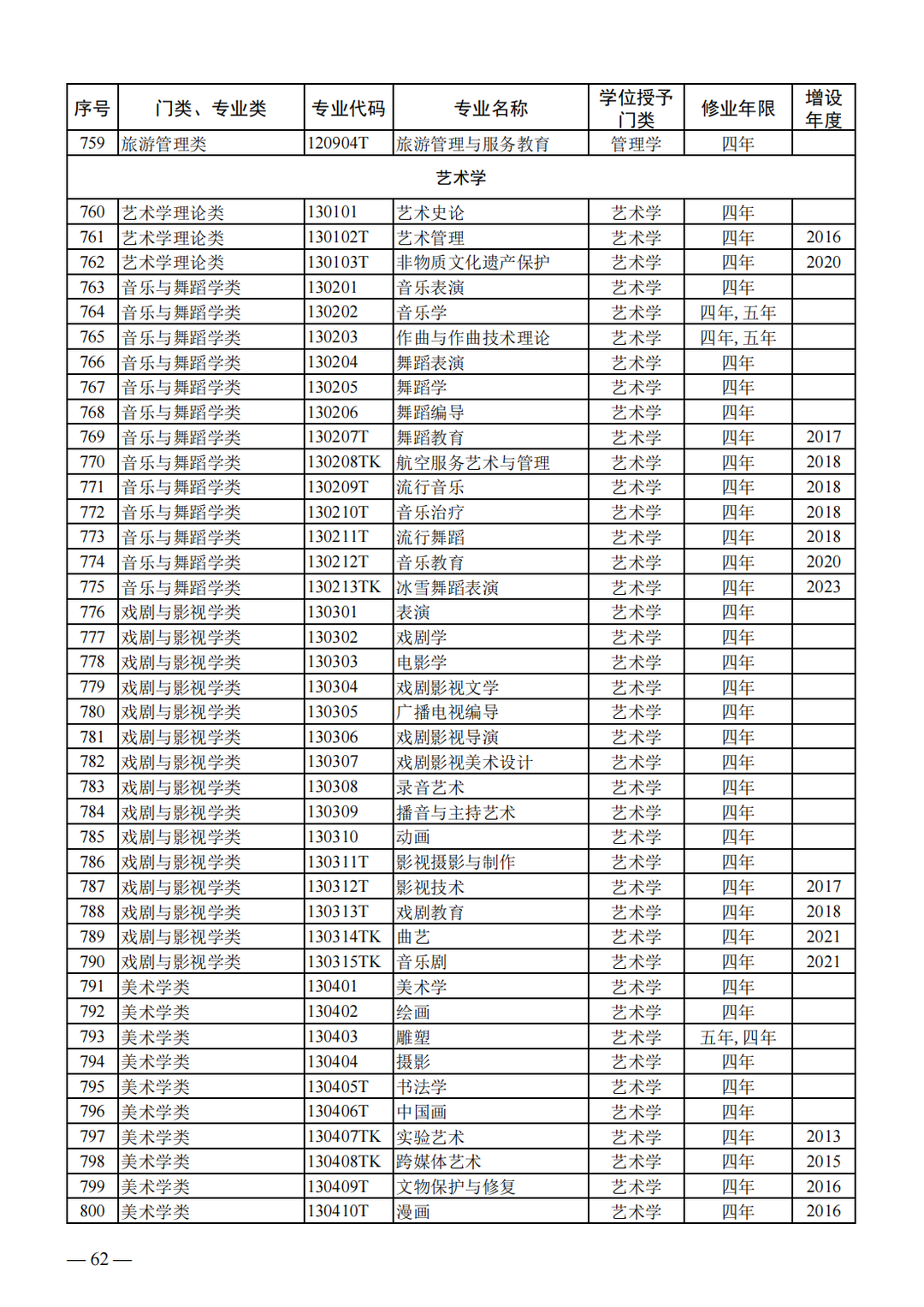
2023年度普通高等学校本科专业备案和审批结果





























































责编:陈洁
一审:陈洁
二审:黄维
三审:王明辉
来源:微言教育
我要问

下载APP
报料
关于
湘公网安备 43010502000374号